0 前言
为解决小空间转向问题,四轮转向系统的研究成为当前主流解决方案。当前较先进的车辆为分布式四轮驱动电动汽车,其在诸多方面的性能优于传统燃油车辆,主要包括取消了发动机、变速器及差速器等机械装置,大大减轻了车身重量,配备的轮毂电机响应速度更快、操作控制精度更高,车轮力矩分配更灵活,提高了车辆高速行驶的稳定性。基于这些优势国内学者进行了广泛的研究,计算机技术的成熟及智能控制算法的出现将四轮转向系统推向新的高度。
1 四轮转向系统原理分析
车辆的转向模型如图1所示,其中R1为内侧轮转弯半径,R2为外侧轮转弯半径,R为ACKERMNN转向半径,r 为后轴中点的转向半径。从图 1a 中可以看出传统车辆转向过程中两前轮转向角度不一致,呈现出内侧轮转向角度 α2 较大,外侧轮转向角度 α1 较小的现象;两后轮均围绕一条旋转中心做旋转运动,通过差速器实现转向时的轮速分配,最终所有车轮的转向中心均汇聚于点O。按照这样的几何关系设计转向系统才能使得车轮转向过程中不会发生侧滑,提高了转向效率。四轮转向系统如图1b所示,通过控制前轮转向的同时后轮也转向并始终保持四个车轮旋转轴汇聚于 O1 点,即可实现小半径转向过程。

图1 车辆转向模型分析
当传统车辆的ACKERMNN转角 α 等于四轮转向的ACKERMNN转角 α* 时,可得半径 r 及 r* 。

可以看出,当两侧前后轮同时以相同角度转向时,四轮转向系统转弯半径缩短为传统转向系统的一半,从而提高了转向系统灵活性及车辆的转向效率。
2 现存的控制算法分析
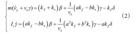
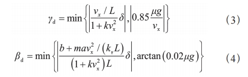
为使得车辆在不同行驶场景下灵活转向的同时保持车身的稳定性,横摆角速度 γ 及质心侧偏角 β 被视为重点对象加以控制,目的是让二者无限接近理想的横摆角速度 γd 及质心侧偏角 βd,其中质心侧偏角的出现不利于车辆稳定性的维持,因而βd=0。车辆二自由度参考模型如图2所示,图中α1、α2 分别为前后轮的轮胎侧偏角,δ 为转向轮转角,vx、vy 分别为纵向、侧向车速,a、b分别为质心到前、后轴的距离,质心侧偏角及横摆角速度算法关系如下式。


图2 二自由度参考模型
式中,m为整车质量;kf、kr 分别为整车前、后轴侧偏刚度;Iz 为整车转动惯量。根据线性轮胎模型所确定的横摆角速度及质心侧偏角理想值。

为了实现质心侧偏角及横摆角速度的控制目的,已大量研究的控制算法有模糊控制、滑模控制和神经网络。
2.1 模糊控制
模糊控制为当前实现横摆力矩控制的成熟解决方案,由于难以直接使用数学公式构建横摆角速度、质心侧偏角误差与横摆力矩的关系,通过大量测试经验建立模糊子集,进而实现分区域的对应关系。周丽等人提出了模糊控制横摆力矩输出作为反馈量的方法,设计了反馈控制器,同时使用前、后轮比例控制作为前馈信号,初步实现了转向过程的跟踪。张云清等人在使用横摆角速度和质心侧偏角作为控制器输入的基础上,添加了后轮转角的影响因素,并使用ADAMS进行了仿真。
当前对于模糊控制在转向参数评估中的应用研究仍在继续,侧重于将其与其他控制算法相结合,进而实现较高的控制精度。
2.2 滑模控制
滑模控制系统在受到外界干扰时具有很强的稳定性,以滑模面为理想控制状态,当系统运动状态远离滑模面时,使用一种控制模式快速接近滑模面。当系统接近滑模面时,使用另一种控制模式缓慢接近滑模面。通过这样的思路最终使控制量稳定在滑模面上,从而达到控制效果。
通过考虑不同阶数下的滑模方程,可实现不同的控制效果。方程的阶数越高,抖振的缩减速度越快,但这同时意味着计算过程更加复杂,因而需合理选择滑模方程的阶数。
2.3 神经网络
神经网络因其并行协同处理的优势而广泛应用,可进行大量输入、输出样本集对应关系的训练,具有良好的自组织和自学习能力。王磊研究了后轮转角为输入信号,质心侧偏角为输出信号的Adaline神经网络,发现该控制系统下的车辆横摆角速度十分稳定。张一分析了模糊控制与神经网络相结合的控制潜力。胡启国使用Simulink搭建了考虑车辆横摆运动和轮胎非线性的转向模型,通过混合训练法构建自适应模糊神经网络模型,进而确定后轮转角情况,结果表明在不同等级车速下,质心侧偏角均接近 0 。但神经网络抗干扰能力差,微小的扰动便会影响控制效果,因而只使用神经网络的方法并不适于偏差的消除。
3 遗传算法
遗传算法仅需较少量初始化种群便可实现精确的控制结果,与模糊控制相比,其结果更精确,无须进行区域划分;相较于滑模控制,具有算法更简单的优势。基于这些优势,遗传算法具有较高的研究价值。
遗传算法(GA)是模拟生物进化过程算法,通过进行选择、交叉及变异等步骤,寻找问题的全局化最优结果。该算法在20世纪70年代由John Holland 提出并广泛应用于各领域,对每个步骤的说明如下。
(1)编码:将问题的解表示为染色体上的基因序列。
(2)初始化:产生 N 个解构成初始化种群,种群的大小由问题的复杂程度决定。
(3)交叉:通过父母染色体的部分序列交换完成交叉过程,产生新的解。
(4)变异:对新解设置较小的变异概率,随机改变某一解的部分序列。该过程能够有效增加种群的多样性,是防止算法局部最优的关键步骤。
(5)组合:用新生成的解替换初始种群中的部分解或全部解,形成 N 个新解构成子代种群。
(6)排序:以适应度值为标准,将初始化种群和子代种群一起排序,选取 N 个适应度尽可能低的解构成新种群,进入下一次循环。
(7)结束:判断 N 个解的适应度是否达到最低,当满足最低适应度条件时,结束循环过程。
4 遗传算法在四轮转向系统中的应用
面对质心侧偏角及横摆角速度的最优化问题,将二者作为编码确定适应度函数,根据车辆设计的转向角极限值和质心侧偏角极限值,生成不同的质心侧偏角及横摆角速度个体,进行交叉、变异的过程。在车辆处于低附着路面时以质心侧偏角的最优化控制为主,在高附着路面的行驶状况下,优先对横摆角速度实施控制策略。
罗玉涛等人提出了一种采用遗传算法的针对时变控制系统方法,通过遗传算法优化状态量权重参数来实现不同路况下质心侧偏角和横摆角速度的协调控制,以状态量权重参数偏差为适应度函数的自变量,设置种群大小为20,交叉比例为0.8,最大优化代数为20,得到了基于遗传算法的权重参数最优值。结果表明所得到的权重参数令质心侧偏角更趋近于0,横摆角速度跟随精度得到提高。文献[5]所采取的手段是利用遗传算法,从而完成对输入模糊控制器比例系数的优化工作,以曲面响应二次多项式模型为适应度函数,设置0.8~1.2为比例系数范围,得到了最优比例系数。通过Carsim与Simulink的联合仿真,结果发现转向时路径横向跟随误差有效降低。
虽然遗传算法已有诸多优势,但其存在运算速度慢的问题,难以实现实时控制的过程,因而需结合其他控制算法来满足实时控制的要求。总之,遗传算法作为全局问题最优解的可选解决方案,在四轮转向汽车领域仍有较大的探索空间。
5 结语
本文针对四轮转向车辆的横摆角速度及质心侧偏角控制问题,详细分析了当前流行的不同控制策略下的控制结果,模糊控制算法灵活、不需要精确模型;滑模控制算法具有强鲁棒性、高精度,但设计复杂;神经网络具有自学习能力和高适应性,抗干扰能力差。最后探讨了遗传算法作为全局最优化问题的可行解决方案,在四轮转向汽车中应用的潜力。
参考文献
[1] 刘钊.汽车四轮转向系统发展与展望[J].汽车实用技术,2015(4):23-25,39.
[2] 刘刚,陈思忠,郑凯锋,等.四轮转向车辆的操纵稳定性分析[J].中国机械工程,2015,26(9):1250-1254.
[3] 范晓冬,魏新华.四轮转向液压底盘自动驾驶系统设计[J].农机化研究,2017,39(5):253-258.
[4] 《中国公路学报》编辑部.中国汽车工程学术研究综述·2017[J].中国公路学报,2017,30(6):1-197.
[5] 扈凯,张文毅.高地隙自走式喷雾机多模式液压转向系统设计与试验[J].农业机械学报,2020,51(9):366-373.
[6] 郭存涵,缪小冬,张宇航.四轮转向汽车路径跟随控制[J].南通大学学报(自然科学版),2018,17(3):23-28.
[7] 周丽,王翠,欧林立.基于模糊控制的四轮转向汽车研究[J].机械与电子,2009(3):40-42.
[8] 张云清,马开献,田强,等.基于ADAMS和MATLAB协同仿真的四轮转向模糊控制策略研究[J].计算机集成制造系统,2007(6):1234-1240.
[9] 王少凯.ABS系统的滑模变结构控制联合仿真研究[D].合肥:合肥工业大学,2008.
[10] 张煜晖,任祖平.基于降维观测器的4WS车辆滑模变结构控制[J].机械制造与自动化,2010,40(3):6-8,39.
[11] 王雪娇.基于BP神经网络的四轮转向汽车操纵稳定性仿真[J].荆楚理工学院学报,2017,32(2):45-50.
[12] 王磊.Adaline神经网络在四轮转向汽车控制系统中的应用[J].时代汽车,2019(1):8-10.
[13] 张一,张明华.基于神经网络的模糊控制在四轮转向系统中的应用[J].工业控制计算机,2014,27(11):74+76.
[14] 胡启国,任龙.汽车四轮转向自适应模糊神经网络控制研究[J].工程设计学报,2013,20(5):434-440.
[15] 刘云忠,宣慧玉.车辆路径问题的模型及算法研究综述[J].管理工程学报,2005(1):124-130.
[16] 张珂.无人驾驶车辆路径规划算法综述[J].装备制造技术,2021(6):111-113.
[17] 霍凤财,迟金,黄梓健,等.移动机器人路径规划算法综述[J].吉林大学学报(信息科学版),2018,36(6):639-647.
[18] 罗玉涛,周天阳,许晓通.基于遗传算法的四轮转向-驱动汽车时变LQR控制[J].华南理工大学学报(自然科学版),2021,49(3):114-122.
本文为“AI汽车制造业”首发,未经授权不得转载。版权所有,转载请联系小编授权(VOGEL100)。本文作者:李大伟 王青 张炜培,单位:钇威汽车科技有限公司 。责任编辑龚淑娟,责任校对何发。本文转载请注明来源:AI汽车制造业
AI汽车制造业
龚淑娟
李峥
2026-03-25
2026-03-27
2026-03-25
2026-03-30
2026-04-01
2026-03-25
2026-03-26
随着中国新能源汽车市场从“规模扩张”转向“深耕体验”,动力系统迭代成为重塑格局的核心。增程式混动作为缓解纯电出行焦虑的关键方案,从小众路线成长为车企战略高地。增程器作为决定驾驶体验的核心部件,以2025年市场占有率第一的赛力斯动力为首的各家增程器供应商围绕在油电转化率、NVH控制和动力响应等方面展开竞争,推动增程技术规模化应用,形成兼具技术与市场价值的标杆样本。本文将解析新能源汽车市场质变逻辑,梳理增程器从单点竞争到系统竞争的演进,并展望行业发展趋势。
作者:李子豪
评论
加载更多