0 引言
车辆NVH(噪声、振动与声振粗糙度)性能是影响驾乘舒适性的重要指标。随着纯电汽车的逐步普及,发动机噪声掩蔽减弱,使电驱高频啸叫、空调噪声及路噪等噪声更为突出,成为影响舒适性与高级感的关键因素。
路面噪声是车内主要噪声源之一。新能源车型因减少了发动机噪声覆盖,所以路噪对车内噪声的贡献量进一步提升。结构路噪由路面不平激励轮胎振动产生,经悬架、副车架与车身传递至车内。工程上可通过优化悬架/车身模态、改善衬套隔振与加装吸振器等措施进行控制。已有研究表明,悬架模态与车身局部模态耦合会导致典型路噪问题。黄应来等发现某电动SUV后悬架模态与尾门一阶模态耦合引起31Hz低频轰鸣,并通过提升悬置与衬套刚度及优化尾门密封与缓冲块装配参数降低尾门振幅,实现问题改善。沈伟等确定后排“咚咚”噪声频段为200~240Hz,声源为轮胎空腔共鸣,并通过在簧下系统安装动力吸振器实现优化。梁新华等针对120Hz路噪轰鸣,通过传递路径分析锁定后弹簧托臂路径贡献最大,并采用加强车身板件、加装动力吸振器及加强副车架横梁等方案显著降低峰值噪声。
本文以某在研后扭力梁悬架纯电SUV为研究对象,针对车内82Hz附近路噪开展测试诊断,识别扭力梁模态与尾门中部局部钣金模态耦合为主要贡献源,并通过在扭力梁两端加装动力吸振器进行优化,以提升整车驾乘舒适性。
1 路噪产生机理
1.1 结构传递路噪
车辆在粗糙或不平路面上行驶时,轮胎受到路面多方向随机激励而产生振动。该振动主要通过结构传递路径进入车内;振动由轮胎传递至轮芯,经悬架系统和副车架进一步传递至车身结构,最终引起车身振动并辐射噪声。结构路噪典型频率范围约为20~250Hz。
1.2 空气传递路噪
路面与轮胎花纹摩擦及“纹气泵效应”产生的噪声可通过空气传播进入车内,与车身吸隔声性能及密封状态密切相关,噪声频率通常在400Hz以上。路噪传递路径如图1所示。

图1 路噪传递路径
2 某纯电SUV路噪问题排查
2.1 问题描述
某在研纯电SUV车型实车主观评价发现,车辆在(40±1)km/h匀速行驶时,后排路噪问题突出,表现为令人不适的中频“轰隆”声,且路面越粗糙噪声越明显。当前主观评分5.5分,判定为不可接受,需进行整改。
2.2 测试技术路线
基于主观评价工况,开展整车问题测试与诊断,并制定测试诊断技术规范及方案优化路径,具体流程如图2所示。

图2 问题诊断测试技术路线
2.3 客观数据采集
根据企业标准规范,测试采用PCB传声器,分别布置于驾驶员外耳处及后排右侧乘员外耳处。数据采集使用西门子LMSSCR2E02数采前端。测试环境风速低于5m/s,场地开阔且周边无显著噪声干扰。测试工况严格控制在(40±1)km/h,路面为粗糙沥青。每组工况重复测试三次,以保证数据一致性,测试结果如图3所示。

图3 某纯电SUV车内路噪噪声频谱
噪声频谱分析显示:车内前排与后排在70~100Hz频段内均存在明显峰值。其中前排最大噪声值为40.6dB(A),后排为48.0dB(A),后排较前排高7.4dB(A)。经带通滤波信号回放验证,该峰值成分与主观感知的“轰隆隆”路噪声特征一致。
2.4 PCA分析
路面激励引发的结构噪声问题较为复杂,系统中存在多个相互关联的激励源,通常需要多个参考信号进行分析。针对耦合问题,可采用PCA方法,将多个参考信号转化为单一主成分参考信号,从而实现耦合系统的独立分析。在实际应用中,常基于奇异值分解(SVD)对工况数据进行主成分提取,以识别主要激励成分。在路噪主成分分析中,通常以轮芯振动数据作为参考基准,并据此判断路噪特征频率及其主要来源(前悬架或后悬架)。若主成分结果表明特征峰值集中在某一悬架系统,则需针对该悬架及其关联车身结构进一步开展专项分析,例如ODS、TPA和模态分析等,以定位关键贡献部件并制定优化措施。轮芯振动测点与通道配置见表1,加速度传感器分别布置于前、后轮芯位置,用于测量轮芯振动响应。

主成分分析结果如图4所示,横坐标为频率,纵坐标为噪声幅值。红色曲线为车内噪声成分曲线,绿色与蓝色曲线分别为前悬架与后悬架主成分的一阶拟合曲线。结果表明:70~100Hz频段噪声峰值的主要贡献来源于后悬架系统。

图4 主成分分析结果
2.5 车身和悬架系统ODS分析
根据PCA结果,车内70~100Hz频段路噪主要来自后悬架贡献。为进一步明确振动源与车身响应点之间的传递关系,对后悬架系统及车身开展ODS分析,其过程中,依据车身与后悬架实际结构轮廓建立ODS模型,共设置180个测点节点,结构如图5所示。测试结果显示,在84Hz附近,后扭力梁中部及两端Z向以及尾门局部X向均出现明显变形摆动,且左右扭力梁拖曳臂两端振动幅值尤为突出,ODS振型如图6所示。该频率落在车内路噪70~100Hz问题频段内,表明路面激励经轮胎传递至后扭力梁,进而激发尾门局部钣金结构振动。初步判断该问题由扭力梁模态与尾门局部模态耦合共振导致。

图5 车身与悬架系统ODS模型

图6 ODS振型分析结果
在扭力梁右侧安装点附加质量块以改变其模态特性后,后排70~100Hz频带峰值噪声降低3dB(A)左右,主观感受亦明显改善。
2.6 模态测试分析
模态测试结果表明:尾门中部局部X向模态频率为84Hz,扭力梁本体Z向弯曲模态频率为83.4Hz,两者频率非常接近。该结果与ODS测试获得的振型特征一致,验证了ODS分析的准确性。综合判断,车内83Hz附近路噪峰值主要由扭力梁模态与尾门局部模态耦合共振引起,测试结果见表2。

3 优化方案验证
3.1 手工方案验证
分别针对“振动噪声源—传递路径—响应点”进行手工改制方案验证,验证方案见表3。

由表3可知,轮胎优化、路径隔振以及响应点优化均可对车内70~100Hz噪声产生一定改善,贡献约1~2.5dB(A),但单项方案效果有限,整车主观评价仍不满足要求。此外,路径隔振类改动可能影响操纵稳定性,因此不宜进行多方案叠加。综合比较,在扭力梁两端增加动力吸振器的方案效果最为显著。
3.2 动力吸振器验证
3.2.1 吸振器工作原理
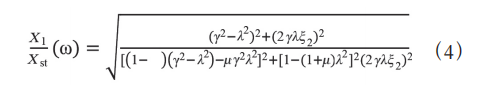
动力吸振器原理如图7所示,其中k1、m1分别为主系统刚度与质量,k2、m2分别为动力吸振器系统刚度与质量。

图7 动力吸振器原理模型
动力吸振器是一种附加于主振动系统的“弹簧—质量”装置。当主系统发生共振时,吸振器会产生与主系统激励力相位相差180°的反力,使激励能量通过橡胶等弹性元件被吸振器吸收,从而消除主振系统振动响应,其动力学方程为:


式中,x1、x2分别为主系统与动力吸振器位移;k1、k2分别为主系统与吸振器刚度;m1、m2分别为主系统与吸振器质量;C为吸振器阻尼;F为系统激励力。
当F为简谐激励时,F(t)=F0ejωt
系统的响应可以表示为:
将响应表达式(3)代入振动微分方程,可得主系统的幅频特性曲线,公式为:

式中,质量比
,主系统固有频率
,单位rad/s;动力吸振器固有频率
,单位rad/s;吸振器阻尼比
;主系统静变形为
;强迫振动比
;固有频率比
。
动力吸振器最优同调为:
最佳阻尼比为:
最优设计条件时最大振幅比为:
由上述关系可知,动力吸振器的最优同调与最优阻尼均由质量比μ决定,质量比越大,吸振效果越明显。
经项目组综合评估,依据动力吸振器最优设计理论公式(5)~(7),针对83.4Hz的扭力梁模态,设计固有频率约83Hz的动力吸振器,安装位置如图8所示。

图8 扭力梁左右两端加吸振器位置示意
扭力梁两端加装动力吸振器的工程方案经实车验证:车内82.2Hz处峰值噪声降低8.4dB(A),70~100HzRMS声压级降低4.9dB(A),该频段整体路噪显著降低,主观评价达到可接受水平,详细数据如图9所示。

图9 扭力梁左右两端加吸振器车内噪声验证结果
4 结语
某在研纯电SUV后排存在显著中频路噪,特征峰值位于82.2Hz。PCA、ODS及模态测试结果表明,后扭力梁Z向模态与尾门中部局部结构X向模态频率接近并发生耦合共振,是该问题的主要原因。
为此,在后扭力梁两端加装动力吸振器进行优化。实车验证显示车内82.2Hz峰值噪声降低8.4dB(A),70~100HzRMS声压级降低4.9dB(A),路噪水平降至可接受范围。该方案具有非侵入、高效且不影响底盘性能的特点,相比调整衬套刚度、弹簧垫等措施更具工程应用价值。
参考文献
[1] 刘伟,韩腾飞,杨少鹏,等.某型电动汽车路噪性能优化[J].汽车工程师,2016(11):46-49,51.
[2] 黄应来,赵明斌,单喜乐.电动汽车路噪轰鸣声分析与优化[J].噪声与振动控制,2024,44(5):284-288.
[3] 沈伟,易斌,陆伟领.动力吸振器在降低车内路噪中的应用[J].汽车工程,2010,32(8):690-692,718.
[4] 梁新华,顾彦,康飞,等.一款四连杆后悬架车型的路噪改进分析[J].上海汽车,2020(1):54-57.
[5] 王涵.基于传递路径的某SUV车型低频噪声的分析与优化[D].镇江:江苏大学,2023.
本文为“AI汽车制造业”首发,未经授权不得转载。版权所有,转载请联系小编授权(VOGEL100)。本文作者:陆日海 邬江 毛光军 李治齐 余靖,单位:吉利汽车研究院(宁波)有限公司。责任编辑龚淑娟,责任校对何发。本文转载请注明来源:AI汽车制造业
AI汽车制造业
龚淑娟
李峥
随着混动和新能源技术的发展,对汽车油耗的要求越来越高,越来越多的新技术被不断应用到汽车中。 本文阐述了电动水阀的节油原理,通过 AMEsim 仿真平台搭建了电动水阀对某混动车型的油耗影响模型,结果表明,常温环境采用电动水阀能改善油耗 0.6%,而低温环境(-25 ℃)油耗可改善 1.4%。
2026-01-20 刘建祥
随着全球能源危机加深与环境问题日益严峻,混合动力汽车作为一种高效的节能减排方案,正逐渐成为汽车市场的重要组成部分。本文旨在探讨混合动力汽车的各种驾驶模式与动力模式及其适用场景,并深入分析其对应的整车动力实现方式。通过对不同模式的比较与评估,本研究旨在帮助消费者更全面地了解相关技术,同时也为制造商的产品设计与优化提供参考。
2026-01-19 卢娜 李雷 张南
近20年,中国乘用车因电动化、智能化及市场需求等因素增重约40%,而多数人“车越重越安全”的认知存在误区。从道路交通系统视角看,车重增加不仅加剧能耗与排放,还会提升碰撞动能、恶化安全测评恶性循环,对整体交通安全不利。本文基于中国市场乘用车近20年增重约40%的数据,分析车辆增重对安全、节能等性能的负面影响。
2026-01-15 周青
2026-02-26
2026-02-27
2026-02-28
2026-03-02
2026-03-03
2026-02-24
2026-02-24
针对某在研纯电SUV在82Hz附近出现的中频路噪问题,开展系统性的诊断与控制研究。通过主成分分析(PCA)、工作变形分析(ODS)与模态测试,识别出后扭力梁与尾门中部外板局部结构共振为主要贡献源。在此基础上,提出在扭力梁两端增加动力吸振器的优化方案。实车测试表明,该方法可显著降低82Hz附近的噪声峰值,并降低70~100Hz频带整体噪声,有效解决中频路噪问题,对提升整车声品质具有重要意义。
作者:陆日海 邬江 毛光军 李治齐 余靖
评论
加载更多