0 引言
目前电动汽车发展迅速。PMSM具备高功率密度、高效率等优点,已成为电动汽车的主要动力源之一。随着研究不断深入,电动汽车在行驶过程中仍需面对多种复杂工况,这对PMSM控制系统的稳态性能、动态响应与鲁棒性提出了更高要求。
目前,PMSM常用的电流控制策略包括最大转矩电流比控制、模型预测控制和反馈解耦控制等。相关研究中,有文献提出了一种基于混合脉宽调制技术的弱磁控制策略;也有文献提出了一种简化模型预测控制方法,可根据电机运行需求选取最优矢量输出;另有文献提出了电流动态控制策略以改善系统性能。
基于搭载PMSM的电动汽车驱动系统,本文研究定子电流的稳态优化及其动态控制。首先在现有算法基础上提出两种定子电流规划方法;随后提出一种复合滑模控制策略,以保证两种参考定子电流矢量的平滑切换,同时减小电磁转矩脉动并增强控制稳定性;最后通过仿真与台架试验对所提方案进行验证,并与传统解耦PI控制方案对比分析,以证明方法的有效性。
1 系统模型
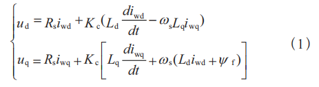
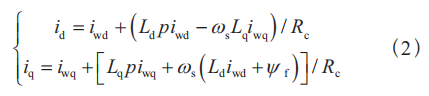
在转子同步平面中,包含铁损的永磁同步电机的数学模型如下。
电压方程可以表示为:

式中Kc=Rs/Rc+1,表征铁芯损耗对电机的影响;id、iq、ud、uq分别为d、q轴电压电流;id、iq可以被分解为有效电流分量
和铁芯损耗分量
为永磁体磁链,
为电机的电角速度;Rs和Rc分别是电机的定子电阻和等效铁损电阻;
分别为d、q轴电感。
与
的关系为:

电磁转矩表达式为:

式中,p0为极对数。
2 定子电流矢量规划
定子电流矢量规划决定了电机在电压与电流约束下的稳态性能。不同的优化目标会使系统在工作范围、效率及功率因数等方面呈现不同特性。
2.1 经济优化算法
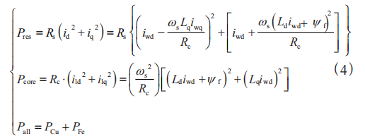
经济优化算法(Economy Optimization Algorithm,EOA)的目标是尽可能降低电机稳态运行时的电阻损耗与铁损,从而提升系统效率。
电机稳态运行时的电损耗可表示为:

式中,
是电阻损耗;
是铁损;
是总电损耗。
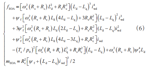
为了最小化电损耗,需要解以下方程得到使总电损耗
最小的电流有效值:

其中:

该方程是关于
的四次方程。求出方程的有效解,即获当前工作点下使电机效率最大的
移除无效点,即可获得EOA控制的电流矢量特性。EOA控制下电机工作范围内的
分布情况如图1所示。图中,第一象限代表驱动状态,而第四象限代表制动状态。

图 1 EOA 控制下的定子电流
2.2 考虑弱磁的最大转矩电流比控制
最大转矩电流比控制(Maximum Torque PerAmpere,MTPA)旨在以给定电流幅值产生最大的电磁转矩,从而在非弱磁区获得最大的转矩输出能力。
电机稳态运行下无电流微分项,根据式(2)获得定子电流矢量幅值平方:

利用电磁转矩表达式(3)消去式(7)中的iwd,获得含有iwd与Te的
表达式,然后对iwd求偏导可得:

其中:

当电机进入弱磁区后使用恒反电动势控制(Constant Back EMF,CBE)进行弱磁。该方程表达式为:

结合MTPA方程与CBE方程,可得到该种控制方法下电机工作范围内id、iq分布情况如图2所示。

图 2 改进 MTPA 控制下的定子电流
从图2中可以看出,在非弱磁区随电磁转矩绝对值增大,id增大。而iq则在全转速范围内与电磁转矩绝对值呈正相关。
2.3 稳态性能对比
典型车用PMSM驱动系统的参数见表1。

所提出的两种算法在电机工作区域上显示出不同的稳态特性。它们在效率方面的对比如图3所示。

图 3 电机效率
从图3可以看出,EOA算法的最高效率与高效区范围比例高于考虑改进MTPA控制,但后者拥有更宽广的外特性范围。
3 定子电流动态控制
3.1 控制目标与框架
根据上节结论,EOA与改进MTPA控制中,改进MTPA外特性表现更好。因此,如果驱动系统所需的输出功率可以在EOA控制下实现,使用EOA以提高系统效率。如果EOA的外特性范围不满足驱动需求,使用MTPA来满足功率要求。在电机的实际运行中,总会存在两种算法的切换,这会导致参考定子电流的瞬时变化。在传统的电流控制下,例如解耦PI控制,其控制稳定性与电磁转矩跟踪性能受限。针对这一问题,提出复合滑模控制,以实现定子电流在EOA和改进MTPA之间的快速稳定切换,同时保证电磁转矩Te的稳定跟踪,整体控制框架如图4所示。

图4 整体控制框架
3.2 复合滑模控制设计
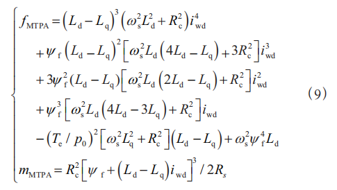
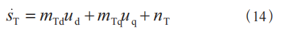
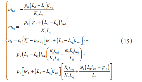
所提复合滑模控制(Integrated SMC)具有两个独立的滑模面ST和Si。滑模面ST旨在保持电磁转矩Si跟踪预期值Si,相应的控制器表示为SMC1。滑模面Si旨在使定子电流在EOA和MTPA之间快速切换,相应的控制器表示为SMC2。独立计算SMC1和SMC2的控制规律,然后由电压矢量规划模块根据调制范围和控制稳定性对ST进行协调。SMC1的目标是确保定子电流矢量ST不偏离恒定电磁转矩曲线,而SMC2的目标是在两处电流工作点之间进行快速稳定的切换。
为解决这个问题,首先定义滑模面ST和Si,如下所示:

式中,CT是转矩差的积分系数;Ci是电流差的积分系数。
SMC1旨在使电磁转矩保持跟踪预期值。通过将式(3)代入式(11),可以得到:

式(13)中的差分项
和
与定子电压ud和uq有关。因此,式(13)可以写成式(14):

通过引入式(1),可以计算出系数:

同理,SMC2旨在控制d轴定子电流的有效分量
通过将式(1)代入式(12),可以得到:

与SMC1类似,式(16)可以写成式(17):

其中:

从式(15)和式(18)中可以得出,通过正确规划定子电压矢量,滑模面ST、Si就能根据所需的趋近律收敛。
另外为使SMC1和SMC2满足Lyapunov稳定性条件,其实际趋近律应满足:

区间的左边界和右边界是可互换的。
SMC1和SMC2的期望趋近律 f*T 和 f*i 没有具体的形式,可以根据实际情况进行设计。本文使用幂次趋近律,当系统状态远离滑模面时,幂次项
主导作用,提供强大的趋近动力,加速趋近过程。当系统状态接近滑模面时,线性项−ks起主导作用,保证了趋近速度以指数形式衰减,使系统能平滑地到达滑模面,有助于抑制抖振。所使用的趋近律的具体形式如下:

式中,
为两个滑模面的幂次项系数,
为幂次项指数,
为线性项系数。
4 仿真及试验验证
4.1 仿真验证
为了验证所提出的方案的有效性,本文使用解耦的PI控制器作为对照组。实验组和对照组的控制器参数如表2所示。PMSM驱动系统的参数与表1相同。在一个周期内使用单次采样和单次更新(SSSU)完成采样。

对所提的方案进行模拟仿真,并针对对照组进行了验证。为了充分体现动态控制效果,将仿真时间设置为0.9s,仿真步长设置为1ns。将所提方案与解耦PI控制方案在转速、转矩和电流跟随方面做出对比,转速跟随曲线如图5所示、电磁转矩跟随曲线如图6所示、d轴电流跟随曲线如图7所示、q轴电流跟随曲线如图8所示。

图 5 转速跟随

图 6 转矩跟随
由图5可知,两组在速度跟随方面的差异几乎无法区分,而转矩跟随差异则较为明显。由图6可知,复合滑模控制转矩波动较小。每次切换定子电流规划的算法时,解耦PI控制都会存在明显的转矩波动。此外,在0.58s时,当电机工作点接近外部特性线时,解耦PI控制下电磁转矩无法很好地跟随所需值。在图7与图8中,可以看出复合滑模控制单轴电流波动反而高于解耦PI控制。这是由于复合滑模控制将转矩跟随作为总体控制目标,而解耦PI控制是分别独立控制d、q轴电流的。

图7 d 轴电流跟随

图 8 q 轴电流跟随
4.2 台架试验验证
为进一步验证所提策略的有效性,进行了台架试验,如图9所示。

图 9 试验台架
硬件的具体参数见表3,试验组和对照组的控制参数见表4。同样通过SSSU进行采样。


如图10所示,验证二者在2000r/min的转速情况,记录参考转矩切换期间的200ms转速波形。负载转矩指令在100ms时从20N·m阶跃到40N·m。当前的电流规划算法在50ms时从改进MTPA切换到EOA控制,并在150ms时切回。

图 10 台架试验转矩转速波形
当负载转矩发生突变时,复合滑模控制明显响应更快,且当参考电流在不同算法之间切换时,复合滑模控制的转速波动更小。
5 结论
本文研究了PMSM驱动系统的定子电流优化及其动态控制。改良了两种定子电流规划算法,分别是效率最优的EOA和侧重动力性的改进MTPA。EOA算法有效降低了电机的电阻损耗与铁芯损耗,而改进MTPA则有较大的外特性范围。另提出了一种复合滑模控制来提高定子电流控制的动态性能和稳定性,特别针对参考定子电流矢量的切换工况。对所提出的方案进行了仿真与台架试验验证。结果表明,所提算法在转速、转矩跟随精度与稳定性方面优于传统解耦PI控制。
参考文献
[1] 杨洪震 , 李晶晶 . 某车用永磁同步电机退磁问题的 分析与优化 [J]. 汽车制造业 , 2025(04): 50-55.
[2] 高倩 , 刘槿颜 , 叶欣 . 电动汽车用永磁同步电机弱 磁控制策略研究 [J]. 重型汽车 , 2025(05): 1-3.
[3] SUN C, SUN D, CHEN W, et al. Improved model predictive control with new cost function for hybridinverter open-winding PMSM system based onenergy storage model[J]. IEEE Transactions on Power Electronics, 2021, PP(99): 1-1.
[4] 陈彦丞 , 王学庆 , 贺明智 , 等 . 基于混合逆变器的开 绕组永磁同步电机驱动系统简化模型预测控制 [J]. 电机与控制学报 , 2023, 27(1): 120.
[5] JIA Y, WANG A, ZHANG Q, et al. Power allocationoriented stator current optimization and dynamic control of a dual-inverter open-winding PMSM drive system for dual-power electric vehicles[J]. Energy, 2025, 322.
本文为“AI汽车制造业”首发,未经授权不得转载。版权所有,转载请联系小编授权(VOGEL100)。本文作者:贾一帆1 王奥运1 崔晓哲1 许楠2,单位:1. 河北工业大学机械工程学院 ;2. 吉林大学汽车底盘集成与仿生全国重点实验室。责任编辑龚淑娟,责任校对何发。本文转载请注明来源:AI汽车制造业
AI汽车制造业
龚淑娟
李峥
在零件公差分析中,传统建模方法通常基于刚体假设。该假设认为在装配过程中,所有零件仅发生刚体位移,而忽略了其可能出现的弹塑性变形。然而,大部分汽车零部件(如钣金件、塑料件、铝制件等)在实际制造与装配过程中,其轮廓和尺寸会因工艺影响而发生改变。因此,传统的刚性建模方法在精度上存在局限性。本文通过引入翼子板零件的柔性建模方法,能够更精确地模拟其在装配过程中的尺寸偏差,从而深入探究并解决由零部件变形引起的装配偏差问题。
2026-01-27 赵振洲 史有为 孙政 杨博 古田
ADSP——应用交付与安全平台,是F5公司为此开发的最新解决方案,它深度集成了高性能负载均衡与先进的应用及API安全能力,旨在应对AI驱动下的混合多云架构挑战。
2026-01-26 龚淑娟
在汽车总装车间,底盘柔性吊具的支撑结构设计,对提升生产效率、降低成本和提高产品质量至关重要。本文详细探讨了其支撑点的设计原理、布局优化与实际应用效果。通过研究支撑点的布局、调节机构、定位精度、稳定性、材料选用及控制系统等方面,分析了其在多车型共线生产中的优势,并展望了支撑点设计在汽车制造领域的未来发展趋势,为总装车间向智能化、柔性化转型提供了有益参考。
2026-01-26 朱智涛
2026-03-04
2026-03-04
2026-03-03
2026-03-05
2026-03-06
2026-03-09
2026-03-10
车用永磁同步电机(PMSM)发展迅速。针对 PMSM 数学模型,本文研究定子电流的稳态优化及其动态控制方法。提出并改良两种定子电流规划算法,分别为经济优化算法(EOA)以及带恒反电动势(CBE) 弱磁控制的最大转矩电流比算法(MTPA)。进一步提出复合滑模控制策略,用以实现两种算法参考定子电流矢量的平滑切换,降低电磁转矩纹波与电流波动,并提升系统的动态性能与稳定性。仿真与台架实验结果验证了所提方法的有效性。
作者:贾一帆 王奥运 崔晓哲 许楠
评论
加载更多